Расчет суммы кредита — важный этап в процессе кредитования. Он помогает определить сумму, которую вы можете себе позволить, учитывая ваши финансовые возможности. Для этого часто используется тест заемщика и специализированные калькуляторы. Они учитывают среднемесячный доход, процентную ставку и другие параметры.
Калькулятор суммы кредита
Сумма кредита:
Совокупный средний доход:
Долговая нагрузка:
Остаток ежемесячного дохода после выплат:
Для чего нужен калькулятор суммы кредита
Калькулятор поможет заемщику правильно оценить свои финансовые возможности и минимизировать риск невыплаты кредита. Помимо этого тест рассчитывает максимально возможную сумму кредита: чем выше доходы и стабильнее финансовое положение клиента, тем большую сумму он может получить.
Среднемесячный доход и ставка в калькуляторе
Среднемесячный доход — один из ключевых показателей, используемых в калькуляторе. Он позволяет оценить финансовые возможности заемщика и определить, какую сумму кредита он сможет обслуживать. Процентная ставка, в свою очередь, влияет на размер ежемесячного платежа и общую стоимость кредита.
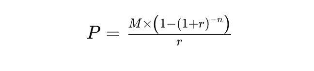
Формула расчета суммы кредита

Сумма кредита рассчитывается на основе следующих параметров:
- P — сумма кредита,
- M — ежемесячный платеж,
- r — ежемесячная процентная ставка (годовая ставка делится на 12 и выражается в десятичной форме, например, 5% = 0.05 / 12),
- n — количество месяцев (срок кредита в годах умножается на 12).
Как использовать калькулятор
Для правильного расчета суммы кредита следуйте этим шагам:
- Сумма ежемесячного платежа: Введите сумму, которую вы планируете платить ежемесячно. Например, 20,000 рублей.
- Срок кредита: введите срок кредита в годах. Например, 5 лет.
- Процентная ставка: введите годовую процентную ставку. Например, 10%.
- Среднемесячный доход за первый год: введите ваш прогнозируемый среднемесячный доход за первый год. Например, 50,000 рублей.
- Среднемесячный доход за n-ный год: введите ваш прогнозируемый среднемесячный доход за n-ный год. Например, 50,000 рублей. Число n — срок кредита в годах, который вы указали ранее.
Интерпретация результатов расчета
Результаты расчета покажут максимальную сумму кредита, которую вы можете взять при заданных условиях. Если сумма кредита слишком мала по сравнению с вашими ожиданиями, попробуйте увеличить сумму ежемесячного платежа или срок кредита. Также можно рассмотреть варианты с более низкой процентной ставкой.
Видеообзор
Часто задаваемые вопросы
Почему важно правильно рассчитать сумму кредита?
Что такое среднемесячный доход?
Что делать, если рассчитанная сумма кредита слишком мала?
Можно ли использовать калькулятор для расчета ипотеки?
Что делать, если доходы нестабильны?
При правильном использовании калькулятора и верном вводе данных вы сможете предварительно определить возможную сумму кредита и распланировать свои финансовые расходы.